How many times have you found yourself frantically pressing buttons to outmanoeuvre and eliminate an enemy in a video game? Have you ever wondered if all that gaming could actually improve your reaction time in real life? Surprisingly, science suggests the answer could be yes!
With over 2.7 billion gamers worldwide, playing video games can be considered as one of today’s most popular pastimes.
How Reaction Speed Works
Your reaction speed is how quickly you can respond to a stimulus, such as slamming on the brakes when a car in front of you suddenly stops or when an enemy unexpectedly jumps out from behind cover. This depends on your brain’s ability to process information and send signals to your muscles. Factors such as age, fitness, and sleep can affect reaction time. But what about video games?
Playing action video games – popular titles include Call of Duty, Grand Theft Auto, Rainbow Six Siege, Valorant, CSGO, Fortnite – requires rapid processing of sensory information and swift action, forcing players to make decisions and execute responses at a much greater pace than is typical in everyday life. During gameplay, slow reactions often have significant consequences, creating a strong incentive for players to improve their reaction speed.
The Science Behind Gaming and Reaction Speed
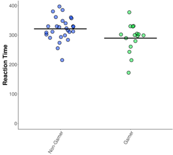
Studies have shown that certain types of video games can improve reaction time by improving cognitive skills such as attention, visual processing and hand-eye coordination. Fast-paced action games, in particular, require players to respond quickly to changing environments, which trains the brain to process information more quickly.
For example, a 2010 study in Current Directions in Psychological Science found that adolescents who played action video games exhibited faster reaction times, without sacrificing accuracy, and performed as well as non-gamers on tests of impulsivity and sustained attention. A further study found that those who play action video games learned new sensory-motor skills faster than nonplayers did. Researchers suggested that action games train the brain to anticipate and react to fast-moving objects and dynamic situations, a skill that can be transferred to real-life situations.

What Types of Games Are Most Effective?
Not all games provide the same benefits. Games that require quick decision-making and precision are best for enhancing reaction speed. Examples include:
- First-person shooters (FPS) like Call of Duty, Rainbow Six Siege, CSGO or Valorant, where players must react to opponents appearing unexpectedly.
- Racing games such as Mario Kart or Forza Horzion, where sharp turns and sudden obstacles require fast reactions.
- Rhythm games like Beat Saber or osu!, which challenge players to match beats and movements in time with fast-paced music.
Real-Life Benefits of Improved Reaction Speed
Improved reaction speed can have benefits beyond gaming. Athletes, drivers, and even surgeons can experience improved performance thanks to sharper reflexes. For example, a football goalkeeper who has practised his reaction time in games will be better equipped to react to fast-moving shots in real matches.
Myth-Busting: Gaming Misconceptions
Gaming has historically had a bad reputation as being a waste of time or detrimental to mental wellbeing. However, studies suggest that playing games in moderation, especially fast paced and strategic games, can improve cognitive functions such as attention, memory and reaction time. The key is balance. While excessive gaming can have negative effects, controlled and purposeful play can actually sharpen your mind.
Common Myths Busted:
- “Video games make you violent”. Research shows that the majority of gamers do not become aggressive, and certain games may even improve emotional regulation.
- “Gaming makes you antisocial”. Multiplayer games often encourage teamwork, communication, and social interaction.
So, the idea that “all games are bad for you” is far from true. It’s about how you play and for how long.
Can Gaming Go Too Far?
While gaming can improve reaction time, excessive gaming can have its downsides. Spending too much time gaming can lead to eye strain, disrupted sleep or reduced physical activity. Moderation is key – balancing gaming with other activities will ensure the best results.

Reflect on Your Gaming Experience
Have you ever noticed that your reactions in everyday life seem quicker after playing fast-paced games? Maybe you’ve instinctively caught a falling object or dodged something unexpectedly. Think about the types of games you play. Do they involve quick decisions, fast reflexes, or multitasking? Understanding how your gaming habits affect your cognitive abilities can help you appreciate the mental training that games can provide.
Try this: Think back to a recent game you played. Were there times when you had to react quickly? How do you think these skills might help you in real life? Thinking about these connections can help you better understand how playing games benefits your brain.
Final Thoughts
So does playing video games improve your reaction time? The evidence suggests that certain types of games can indeed sharpen your reflexes and cognitive skills. However, it’s important to keep your gaming habits healthy and balanced.
Have you noticed your reaction speed improving after gaming? Share your thoughts below!
So the next time someone tells you to stop playing and “do something useful”, you can confidently say you’re exercising your brain. Just remember to take a break now and then!
Find out more:
Increasing Speed of Processing With Action Video Games
Reaction Time and Cognitive Abilities of Gamers and Non-Gamers
Playing High-Action Video Games May Speed Up Learning, Studies Say
Neurocognitive research finds gamers are better at timing their reactions than non-gamers
Neurocognitive analyses reveal that video game players exhibit enhanced implicit temporal processing
FUTURITY – Video Games Speed Up Right Time
Follow us on our socials:
Scientia (@ueascientiablog) • Instagram photos and videos
Let us know what you think down in the comments below!

This is a great blog! You make some important points and it is well balanced – as I was reading, I was thinking about the negatives of gaming ( I am not a gamer myself!) but you present all sides of the argument. What about the addictive nature of them though, which encourages long play and constant returning to the game? For some players, this may outweigh the reaction time benefits and counteract any positive gains. I think you make the point well though, everything in moderation.